新闻中心
联系我们
地址:广东省中山市港口镇沙港西路106号
联系人:翁先生
电话:18676267728
传真:0760-88498239
添加时间:2016-09-30 发布在:行业资讯 阅读:6,624
在印刷实际过程中,油墨向纸张中的渗透过程有两个不同阶段。首先是印版和纸张接触瞬间,油墨在印刷的压力作用下渗入到纸张表层,这阶段叫加压渗透;紧接着印版离开纸张后,留在纸张上的油墨是依靠纸张纤维的毛细管作用渗入到纸张内部,这一漫长的过程叫自由渗透。实验和计算表明加压渗透占主导地位。一组实验数据可说明问题,以凸版印刷机为例,纸张厚度为100μm,印刷机压力P为4903.325kPa,压印时间为2×10-3s,两张印品印刷的间隔时间(即自由渗透时间)为2×10-3s,油墨黏度为0.6Pa▪s,油墨表面张力为0.03879N/m,纸张纤维毛细管的平均半径为2.6μm,油墨对纸张的润湿角为0°。结果加压渗透深度为16.6μm,而自由渗透深度为4.1μm,后者是前者的四分之一,总渗透深度约20μm,自由渗透深度是纸张厚度的20%。

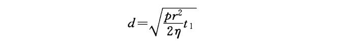
压力对渗透深度的作用可用Olsson公式计算,计算公式为

纤维毛细管自由渗透深度用Washburn方程计算,计算公式为
式中:
d——Olsson压力渗透深度;
h——Washburn自由渗透深度;
p——印版与纸张压力;
η——油墨连接料黏度;
γ——油墨连接料表面张力;
r——纤维毛细管半径;
a——纤维壁面与油墨连接料接触角;
t1——油墨被压入时间;
t2——油墨对纸张渗透时间。
从上述二式看出p、γ、r、t1、t2大a小则渗透深度深,η大则渗透深度浅。也就是说机器压力大、纸张纤维粗、作用时间长、油墨黏度低则渗透深度深。渗透型油墨连接料一般以矿物油如沥青为主,还有松香油、石油树脂等。